一、引言
如何突破太阳电池的Shockley – Queisser (SQ)效率极限,一直是光伏领域科学家们努力探索的重要课题。2005年,《Science》在创刊125周年之际提出了125个科学难题[1],其中就有关于太阳电池终极转换效率的关键提问:“太阳电池的终极效率是什么?”,如今20年已过去,随着技术的不断迭代,似乎我们已找到突围方向——第三代太阳电池技术。
以晶体硅为代表的第一代太阳电池,其效率已接近理论极限,提效空间有限;第二代太阳电池(CdTe、CIGS、非晶/微晶硅等)虽然生产成本较低,但效率偏低,且其中部分材料存在资源稀缺或环境毒性等问题,难以支撑大规模可持续应用。在此背景下,第三代太阳电池应运而生,包括有机光伏、钙钛矿电池、多结叠层、中间带、热载流子、光子/激子倍增以及热光伏等。这些新技术的共同目标是在不增加复杂封装与阳光跟踪系统的前提下,不断推动单片电池转换效率的提升。
其中,中间带太阳电池(Intermediate Band Solar Cell, IBSC)凭借在单一吸收体内显著提升光谱利用率的独特方案,为这一世纪难题提供了新的解题思路,形象地说,它为低能光子搭建了一条“隐形的楼梯”,让它们不再被浪费。
二、IBSC的工作原理与结构
在常规单结太阳电池中,当光照射到器件表面,光子会经历反射、透射或吸收过程。只有当光子能量大于半导体带隙Eg时,才能将价带(Valence band,VB)的电子激发到导带(Conduction band,CB),形成电子-空穴对并产生光生伏特效应。由此可见,亚带隙光子(主要是红外光)无法被有效利用,直接成为能量损失。这正是SQ极限限制单结电池效率的根本原因之一。
为解决这一根本性瓶颈, 1960年,美国霍夫曼半导体公司的Martin Wolf提出一种设想[2],即在禁带内引入“附加能级”(additional levels)来吸收能量低于带隙的光子,从而提高光谱利用率。之后在1997年,马德里理工大学太阳能能源研究所的Antonio Luque和Antonio Marti首次对该理念给出了完整的理论框架[3],从而拉开了IBSC的研究序幕。
IBSC 的核心思想是在传统的VB和CB之间引入中间带IB(如图1a所示),在光吸收过程中,既可以发生传统的 VB→CB 高能光子跃迁,也可以通过 VB→IB 及 IB→CB 两步吸收两个低能光子完成电子从 VB 到CB 的跃迁。这种双光子吸收机制可以有效扩展光谱响应范围,增加光生电流。
在器件设计上,IB 材料通常被夹在常规 p 型和 n 型半导体间(如图1b所示),二者作为电子和空穴的选择性接触层,确保电子只能从 CB 提取、空穴只能从 VB 提取,并避免 IB 与外部电极直接接触,从而防止通过 IB 的载流子直接复合[4,5]。IB 材料在此仅作为电子跃迁的中介,不直接参与载流子输运。这种设计不仅阻断了 IB 载流子的复合路径,还使器件具备电压保持效应,即开路电压由总带隙Eg决定,而非子带隙Eh或El决定,从而实现在提升光电流的同时维持较高电压,提高整体转换效率。

图1 (a) IBSC能带图示意图及工作原理[4],(b) IBSC电池结构[5]
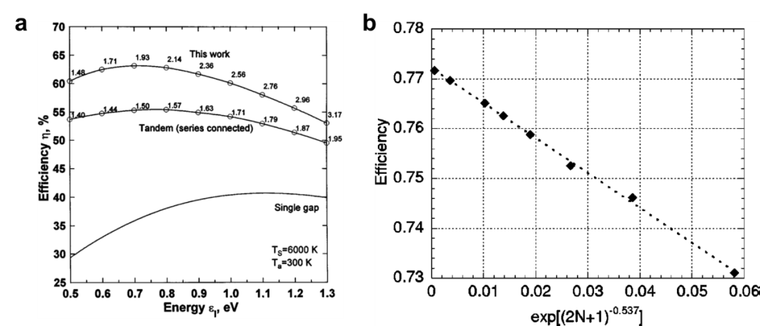
Luque和Martí的细致平衡计算表明[3],在理想条件下,IBSC的理论效率在 1 Sun下可达46%,全聚光条件下可达63.2%;Brown的模拟则显示[6],如果存在无限多IB,极限效率可达惊人的77.2%,这远高于全聚光条件下三结叠层63%的理论极限效率[7],且无需解决多结电池的电流匹配问题,这为未来的实际应用提供了竞争力。

图2 (a) 全聚光条件下效率[3]; (b) 考虑无限多IB时极限效率[6]
需要说明的是,IBSC的高效率对IB材料的特性提出了严格要求[3,4,8]:
1.IB 必须处于半充满状态,确保跃迁至IB的电子有足够机会再次被激发至 CB,而非直接复合;
2. 各能带间需保持光子选择性,避免吸收谱重叠,或者即使有重叠,吸收系数满足显著的层级关系:α(VB→CB) > α(VB→IB) > α(IB→CB)。
3. 中间带必须不能是非辐射复合中心,避免能量损失。
三、IBSC的材料选择与发展现状
自 IB 概念提出以来,研究者不断尝试多种材料体系构建满足要求的IB。如图3所示,主要可归为四类技术路线[4]:量子点(Quantum dots, QDs)、具有深能级杂质的体材料(Bulk with deep-level impurities, DLIs)、高失配合金(Highly Mismatched Alloys, HMAs)、有机分子(Organic molecules, OMs)。然而尽管在每种技术方法中都取得了实验进展,但迄今为止,尚没有一种IBSC的实现充分利用了IB的优点。

图3 不同IBSC技术能带图[4] (a) 量子点; (b) 具有深能级杂质的体材料; (c) 高失配合金; (d) 有机分子
量子点
量子点是迄今为止研究最为深入的IB技术,被认为是最有希望实现IBSC的材料。可以将量子点技术分为两种,外延量子点(Epitaxial quantum dots, EQDs)和胶体量子点(Colloidal quantum dots, CQDs)。
基于InAs/GaAs的EQDs技术率先在低温下验证双光子电流与电压保持等关键物理现象[9,10]。然而其受限于两个瓶颈[11-13]:首先,涉及IB跃迁的光吸收过于微弱,光子很难被有效捕获,这主要是由于 EQDs 的体密度很低(1015 -1016 cm-3);其二,中间带与基体的VB或CB之间存在过度的非辐射电子交换,这会导致在室温下难以保持较高的输出电压。其根源在于 EQD 尺寸与形状不理想,这会产生间隔非常接近的受限电子能级并诱发载流子热化或Auger复合。
与EQDs相比,CQDs是在IBSC领域尚未被充分发展的一种技术,与EQDs通过分子束外延(Molecular beam epitaxy, MBE)或金属有机化学气相沉积(Metal-organic chemical vapor deposition, MOCVD)等方法在基底上生长量子点不同,CQDs是通过湿化学合成纳米晶体分散在溶剂中[14],成本较低。CQDs的体密度较高(1019 –1020 cm-3),并且在VB→IB和IB→CB的两个跃迁中都表现出很高的光吸收能力[15]。其次,CQDs 的尺寸可以被精确调控[16],可以在中间带与价带、导带之间形成真正的带隙隔离。其被认为有望解决 EQDs 中的低密度、能级不理想和制造成本高等问题,从而帮助实现商业化的 IBSC。
具有深能级杂质的体材料
该技术是在体半导体中通过引入深能级杂质构建IB[17]。这些深能级位于VB和CB之间,可以吸收低能光子,从而在理论上提升太阳电池效率。
实验已经表明,这种体半导体确实能产生较强的带隙以下光电流,说明它在利用低能光子方面具有潜力[18]。然而深能级杂质往往是非辐射复合中心[19],可能快速耗尽载流子寿命,降低电池电压Voc。若非辐射复合过强,其反而会成为效率杀手。目前还需要更深入的研究。
高失配合金
高失配合金由两种不同的半导体材料制成,将氧化物和氮化物分别引入II-VI 和III-V 族化合物中,部分替代主体材料中的元素(如ZnTe:O 或GaAs:N), 就可以构建出具有中间能带的新型高失配合金体系[20,21]。其原理是引入的新元素会与主体材料的某一能带(CB或VB)发生相互作用,将该能带分裂为两个子带,从而创造出IB。其已被证明具有作为IBSC的潜力[22],但目前仍缺乏对于Voc保持机制的研究,而这正是IBSC高效率的核心之一。
有机分子
有机分子材料可作为敏化剂或高带隙受体[23],通过敏化剂吸收两个低于受体带隙的光子,经由单重态向三重态的自旋转换及与受体间的能量转移(Energy transfer, ET),使受体分子获得三重态激发;随后两个受体的三重态通过三重态-三重态湮灭(Triplet–triplet annihilation, TTA)合成为一个高能单重态,并在受体中产生高能电子-空穴对,从而实现光子上转换,有效利用原本无法被高带隙材料吸收的低能光,提高太阳电池的光谱利用率。这种技术仍处于起步阶段,但目前已展示其利用亚带隙光子产生光电流的潜力[24]。后续的工作需要找到适合的敏化剂和受主材料的组合,使ET和TTA过程更高效。
四、结语
自 1997 年提出以来, IBSC历经二十余年的理论与实验探索,已从构想走向多路线并行的原型验证阶段。它突破了单结电池的SQ极限,为充分利用太阳光谱特别是亚带隙光子开辟了全新途径,也打破了依赖多结叠层来拓展吸收范围的固有模式。然而,IBSC仍面临中间带吸收能力不足、非辐射复合强烈、常温下电压保持困难以及材料与器件结构相容性差等多方面挑战,制约了其规模化和产业化进程。展望未来,随着新材料设计、能带精准调控、界面钝化及光谱管理等关键技术的突破,这些瓶颈有望被逐步克服。届时,IBSC将有可能实现从实验室走向大规模商业化生产,以显著超越SQ极限的转换效率推动全球能源结构向更加清洁和可持续的方向发展。
参考文献
[1]Kennedy D, Norman C. So much more to know[J]. Science, 2005, 309(5731): 78-102.
[2]Wolf M. Limitations and possibilities for improvement of photovoltaic solar energy converters: Part I: Considerations for earth"s surface operation[J]. Proceedings of the IRE, 1960, 48(7): 1246-1263.
[3] Luque A, Martí A. Increasing the efficiency of ideal solar cells by photon induced transitions at intermediate levels[J]. Physical review letters, 1997, 78(26): 5014.
[4]Ramiro I, Martí A. Intermediate band solar cells: Present and future[J]. Progress in Photovoltaics: Research and Applications, 2021, 29(7): 705-713.
[5]齐臣杰,王芩,王宏伟,等.中间带太阳电池进展[J].微纳电子技术, 2012, 49(7):6.
[6]Brown A S, Green M A. Impurity photovoltaic effect: Fundamental energy conversion efficiency limits[J]. Journal of Applied Physics, 2002, 92(3): 1329-1336.
[7]De Vos A. Detailed balance limit of the efficiency of tandem solar cells[J]. Journal of physics D: Applied physics, 1980, 13(5): 839.
[8]Luque A, Martí A, Stanley C. Understanding intermediate-band solar cells[J]. nature photonics, 2012, 6(3): 146-152.
[9]Martí A, Antolín E, Stanley C R, et al. Production of photocurrent due to intermediate-to-conduction-band transitions: A demonstration of a key operating principle of the intermediate-band solar cell[J]. Physical Review Letters, 2006, 97(24): 247701.
[10]Antolin E, Martí A, Linares P G, et al. Advances in quantum dot intermediate band solar cells[C]//2010 35th IEEE Photovoltaic Specialists Conference. IEEE, 2010: 000065-000070.
[11]Datas A, López E, Ramiro I, et al. Intermediate band solar cell with extreme broadband spectrum quantum efficiency[J]. Physical review letters, 2015, 114(15): 157701.
[12]Antolín E, Martí A, Farmer C D, et al. Reducing carrier escape in the InAs/GaAs quantum dot intermediate band solar cell[J]. Journal of Applied Physics, 2010, 108(6).
[13]Ramiro I, Antolin E, Steer M J, et al. InAs/AlGaAs quantum dot intermediate band solar cells with enlarged sub-bandgaps[C]//2012 38th IEEE Photovoltaic Specialists Conference. IEEE, 2012: 000652-000656.
[14]Alivisatos A P. Semiconductor clusters, nanocrystals, and quantum dots[J]. science, 1996, 271(5251): 933-937.
[15]Ramiro I, Kundu B, Dalmases M, et al. Size-and temperature-dependent intraband optical properties of heavily n-doped PbS colloidal quantum dot solid-state films[J]. ACS nano, 2020, 14(6): 7161-7169.
[16]Murray C B, Norris D J, Bawendi M G. Synthesis and characterization of nearly monodisperse CdE (E= sulfur, selenium, tellurium) semiconductor nanocrystallites[J]. Journal of the American Chemical Society, 1993, 115(19): 8706-8715.
[17]Luque A, Martí A. A metallic intermediate band high efficiency solar cell[J]. Progress in Photovoltaics: Research and Applications, 2001, 9(2): 73-86.
[18]Marsen B, Klemz S, Unold T, et al. Investigation of the sub-bandgap photoresponse in CuGaS2:Fe for intermediate band solar cells[J]. Progress in Photovoltaics: Research and Applications, 2012, 20(6): 625-629.
[19]Berthe M, Stiufiuc R, Grandidier B, et al. Probing the carrier capture rate of a single quantum level[J]. Science, 2008, 319(5862): 436-438.
[20]Walukiewicz W, Shan W, Yu K M, et al. Interaction of localized electronic states with the conduction band: Band anticrossing in II-VI semiconductor ternaries[J]. Physical Review Letters, 2000, 85(7): 1552.
[21]Wu J, Walukiewicz W, Yu K M, et al. Band anticrossing in GaP1−xNx alloys[J]. Physical Review B, 2002, 65(24): 241303.
[22]Ahsan N, Miyashita N, Monirul Islam M, et al. Two-photon excitation in an intermediate band solar cell structure[J]. Applied Physics Letters, 2012, 100(17).
[23] Ekins-Daukes N J, Schmidt T W. A molecular approach to the intermediate band solar cell: The symmetric case[J]. Applied Physics Letters, 2008, 93(6).
[24]Hill S P, Dilbeck T, Baduell E, et al. Integrated photon upconversion solar cell via molecular self-assembled bilayers[J]. ACS Energy Letters, 2016, 1(1): 3-8.
切换行业





正在加载...



